What Is Miter Bend?
A Miter Bend can be described as a bend which is created by cutting the ends of a pipe at a given angle, and then joining the ends of the pipe. There are two types of Miter Bend, namely non-perpendicular bend and 3D bend. The milter pieces are also known as gores, which means there are two middle and two end pieces in a four piece Miter Bend. It is to be noted that they are not standard fittings. Highly skilled laborers are needed for making Miter Bends and they are mostly used in general services. A Miter Bend can have a maximum of 5 cuts. The benefits of this fitting are:
However, there are some demerits of Miter Bends too, like:
How To Make Miter Bend?
A true Miter Bend comes with a 90 degree bend, which is made by cutting two pipe ends at an angle of 45 degrees each, and then they are joined by welding. Similarly, if three pipes are cut at 90 degrees, they can be joined to form a 90 degrees Miter Bend.
How Do You Calculate Miter Elbows?
The length of a miter bend or miter elbow is calculated by multiplying the radius of the centerline of the bend with the bend angle (in radians). Thus, l=r*Θ.
What Is Considered A Miter Bend?
Pipe end cuttings at an angle, usually 45 degrees, and then joining the pieces by welding process to form a bend, that is usually of 90 degree angle, is considered as Miter Bend.
Where To Use Miter Bend?
The Miter Bend, like a bend pipe fittings, help to change the direction of flow of the pipe run. They are primarily used for general services, like for category D fluids. They might be used in process lines only when the pipe size is above 14”.
Miter Bend manufacturer in India
Table of Content
| Miter Bend Standard | ASME B31.3 Mitered |
| Miter Bend O.D. | 38.0 mm - 206.0 mm. |
| Available Radius Miter Cut Elbow | Manufacturer of 2.5D, 3D, 5D, 10D, 22D |
| Miter Bend Sizes | Seamless 1/2 inch to 24 inch; Welded / ERW : 2 inch to 36 inch |
| Miter Bend Radii of | 75 / 100 / 150 / 250 / 300 / 500 / 800 / 1,000 / 1,200 / 1,500 mm. |
| Types | Welded, Seamless, ERW, Fabricated |
| Bending angle (θ) | 15 Deg, 22 Deg, 22.5 Deg, 30Deg, 45 Deg, 60Deg, 90 Deg, 135 Deg, 180 Degree Elbow |
Biggest 90 Degree Mitered Elbow importer, stockists, supplier, wholesalers, dealers, stockholders, exporters, distributor and Manufacturer in Mumbai
30° Gored Elbow
(E-2-30)
45° Gored Elbow
(E-3-45)
60° Gored Elbow
(E-4-60)
90° Gored Elbow
(E-5-90)
The number of the miters should be a maximum of 5 according to ASME B 31.3 specification.
Calculation Inputs Needed:
| Pipe/Line Size | No. of Cuts | Material Type | Bending Angle | Sch Number | Radius of Bend |
|---|---|---|---|---|---|
| 8″ | 3 | CS (Carbon Steel) | 90 | SCH 120 | 2.5 D |
Note: D = Pipe / Line size
Step 1: Note the data from above table
Step 2: According to no. of cuts, outline the drawing as below figure.

Step 3: Locate the Angle of Cut.

Step 4: Finding the CL1 (i.e. Center Line Length) of the First Miter.
Using Pythagoras formula,

NOTE :
Therefore,
Step 5: Calculate Outside and Inside Radius (OR & IR) of the bend.

Step 6: Calculate the IL1 (i.e. Inside Length) of the First Miter.
Using Pythagoras formula,

Therefore,
Step 7: Find out the OL1 (i.e. Outside Length) of the First Miter.
Using Pythagoras formula,

Therefore,
Step 8: Find the "Length of Pipe required" for the Miter Bend.
Length of pipe required = CL1 + Cutting allowance + CL2 + Cutting allowance + CL3 + Cutting allowance + CL4
NOTE : Cutting allowance depends upon the cutting method used, we are assuming 5 mm.
Thus, L = 136+5+272+5+272+5+136
L = 831 mm

Step 9: Calculating the Weight of the Pipe.

ASME B 36.10M-2015
Plain End mass is given 90.44 kg/m as per ASME B 36.10 M
Now,
Finding the weight using the following formula
Weight of the Pipe = Plain End Mass * Length of Pipe ( in meter)
Weight (W) = 90.44 * 0.831 = 75 kg
Step 10: Get the Cut-back.
Cut-back = CL1 – IL1
Cut-back = 136 – 107 = 29 mm
| Miter Bend Price Per Piece in India | 90 Degree Mitered Elbow Price in INR | A420 WPL6 Miter Cut Elbow Price in UAE Dirham | A234 WPB Mitered Bend Price in USD |
| OUTSIDE MITER (BENDS)90 (S) MHW-90 40 PCS Per Kg | 1,027 | UAE Dirham 50.94 | $13.87 |
| 90* OUTSIDE MITER (BENDS) (S) Per Kg | 466 | UAE Dirham 23.11 | $6.29 |
| 90 DEGREE H-PLANE MITERS BEND WAVEGUIDE WR90 WITH COVER FLANGE Per Unit | 12,530 | UAE Dirham 621.49 | $169.21 |
Check our prices with those of other Miter Bend manufacturer in India.This is an estimated price of a WPHY 52 Miter 90 Degree Elbow in India. Please contact us for the most recent A420 WPL6 Miter Cut Elbow stocklist in Mumbai.

| NOM.
DIA |
A Min. | R
Radius |
S
Inches |
M |
|---|---|---|---|---|
| 30 | 42w" | 45" | 17p" | |
| 32 | 44s" | 48" | 18s" | |
| 34 | 47r" | 51" | 19f" | |
| 36 | 49f" | 54" | 21w" | |
| 38 | 52i" | 57" | 22r" | |
| 40 | 55w" | 60" | 23i" | |
| 42 | 57s" | 63" | 24p" | 8r" |
| 44 | 60r" | 66" | 25s" | |
| 46 | 62f" | 69" | 27" | |
| 48 | 65i" | 72" | 28i" | 9p" |
| 50 | 68w" | 75" | 29r" | |
| 52 | 70s" | 78" | 30i" | |
| 54 | 73r" | 81" | 31p" | 10f" |
| 56 | 75f" | 84" | 32f" | |
| 58 | 78i" | 87" | 34" | |
| 60 | 81w" | 90" | 35w" | |
| 62 | 83s" | 93" | 36y" | |
| 64 | 86y" | 96" | 37i" | |
| 66 | 88f" | 99" | 38p" | |
| 68 | 91i" | 102" | 39f" | |
| 70 | 94w" | 105" | 41" | |
| 72 | 96s" | 108" | 42r" | |
| 78 | 104i" | 117" | 45s" | 15r" |
| 84 | 112y" | 126" | 49i" | |
| 86 | 115" | 129" | 50y" |

The dotted lines in the above image indicate where the pipe should be cut. A vertical reference line is drawn at the following distances from the pipe end on each dotted cut line.
Given a formula for making a 90 degree mitre bend of 10" size with the same bend centre radius as a regular bend, 381 mm.

| Bend | Steel
e = 0.05 mm |
Spiral Weld Steel
e = 0.1 mm |
|---|---|---|
| Threaded Bend | ||
| 90° Bend, r/d=1 | 30 | 26 |
| Welded Bend | ||
| 90° Bend, sharp bend | 55 | 49 |
| 90° Bend, r/d=1 | 19 | 16 |
| 90° Bend, r/d=1.5 | 13 | 12 |
| 90° Bend, r/d=2 | 11 | 10 |
| NOM. SIZE | DIMENSIONS IN mm | ||||
| D 1) | OD | R | A | B | C |
| 2" | 60.33 | 50 | 32 | 8 | 12 |
| 3" | 88.90 | 80 | 49 | 14 | 17.5 |
| 4" | 114.30 | 100 | 62 | 17 | 22.5 |
| 6" | 168.28 | 150 | 93 | 26 | 33.5 |
| 8" | 219.08 | 200 | 123 | 36 | 43.5 |
| 10" | 273.05 | 250 | 153 | 45 | 54 |
| 12" | 323.85 | 300 | 183 | 55 | 64 |
| 14" | 356 | 350 | 210 | 68 | 71 |
| 16" | 406 | 400 | 240 | 78 | 81 |
| 18" | 457 | 450 | 270 | 88 | 91 |
| 20" | 508 | 500 | 300 | 98 | 101 |
| 24" | 610 | 600 | 360 | 117 | 121.5 |
| 26" | 660 | 660 | 393 | 131 | 131 |
| 28" | 711 | 700 | 420 | 137 | 141.5 |
| 30" | 762 | 760 | 454 | 151 | 151.5 |
| 32" | 813 | 800 | 479 | 156 | 161.5 |
| 34" | 864 | 860 | 514 | 170 | 172 |
| 36" | 914 | 910 | 544 | 180 | 182 |
| 38" | 965 | 965 | 576 | 192 | 192 |
| 40" | 1016 | 1020 | 607 | 203 | 202 |
| 42" | 1067 | 1070 | 637 | 213 | 212 |
| 44" | 1118 | 1120 | 667 | 223 | 222 |
| 48" | 1219 | 1220 | 728 | 243 | 242.5 |
| 54" | 1372 | 1370 | 818 | 272 | 273 |
| 60" | 1524 | 1520 | 907 | 301 | 303 |
| DIA
NOM |
A | B | C
(1) |
D
(1) |
M | |
|---|---|---|---|---|---|---|
| Min (3) | LR Ell Dim | |||||
| 3 | 2 | 2 | 1s | 1w | t | |
| 4 | 2i | 2i | 2y | 1t | u | |
| 6 | 3s | 3s | 3i | 2 | p | |
| 8 | 5 | 5 | 4s | 2p | d | |
| 10 | 6r | 6r | 5f | 3t | 1q | |
| 12 | 7i | 7i | 7w | 3g | 1r | |
| 14 | 8s | 8s | 8r | 4p | 1y | |
| 16 | 10 | 10 | 9i | 5r | 1o | |
| 18 | 11r | 11r | 10s | 5f | 1s | |
| 20 | 11i | 1 - 0i | 11f | 6o | 2 | |
| 22 | 1 - 0r | 1 - 1i | 1 - 1w | 6g | 2e | |
| 24 | 1 - 1r | 1 - 3 | 1 - 2r | 7f | 2y | |
| 26 | 1 - 1s | 1 - 4 | 1 - 3i | 8r | 2o | |
| 28 | 1 - 2s | 1 - 5y | 1 - 4q | 9q | 2s | |
| 30 | 1 - 3i | 1 - 6i | 1 - 5f | 9o | 2g | |
| 32 | 1 - 4i | 1 - 7f | 1 - 7 | 10y | 3e | |
| 34 | 1 - 5i | 1 - 9w | 1 - 8r | 11 | 3y | |
| 36 | 1 - 6r | 1 - 10r | 1 - 9i | 11i | 3o | |
| 38 | 1 - 7 | 1 - 11i | 1 - 10p | 1 - 0e | 3s | |
| 40 | 1 - 7s | 2 - 0s | 1 - 11f | 1 - 0d | 3g | |
| 42 | 1 - 8i | 2 - 2 | 2 - 1 | 1 - 1i | 4w | 8y |
| 44 | 1 - 9i | 2 - 3r | 2 - 2r | 1 - 2w | 4y | |
| 46 | 1 - 10i | 2 - 4i | 2 - 3y | 1 - 2d | 4o | |
| 48 | 1 - 11r | 2 - 5s | 2 - 4p | 1 - 3u | 4s | 9p |
| 50 | 2 - 0r | 2 - 7 | 2 - 5s | 1 - 4w | 4g | |
| 52 | 2 - 1 | 2 - 8r | 2 - 7 | 1 - 4s | 5w | |
| 54 | 2 - 1s | 2 - 9i | 2 - 8r | 1 - 5y | 5y | 10f |
| 56 | 2 - 2s | 2 - 10s | 2 - 9y | 1 - 6q | 5o | |
| 58 | 2 - 3i | 3 - 0 | 2 - 10i | 1 - 6s | 5s | |
| 60 | 2 - 4r | 3 - 1r | 2 - 11s | 1 - 7y | 5g | |
| 62 | 2 - 5r | 3 - 2i | 3 - 1 | 1 - 8 | 6w | |
| 64 | 2 - 6 | 3 - 3s | 3 - 2w | 1 - 8o | 6t | |
| 66 | 2 - 7 | 3 - 5 | 3 - 3y | 1 - 9t | 6o | |
| 68 | 2 - 7s | 3 - 6r | 3 - 4i | 1 - 10 | 6s | |
| 70 | 2 - 8i | 3 - 7i | 3 - 5s | 1 - 10p | 6g | |
| 72 | 2 - 9i | 3 - 8s | 3 - 6f | 1 - 11t | 7w | |
| 74 | 2 - 10r | 3 - 10 | 3 - 8e | 1 - 11f | 7y | |
| 76 | 2 - 11 | 3 - 11r | 3 - 9y | 2 - 0o | 7o | |
| 78 | 3 - 0 | 4 - 0u | 3 - 10i | 2 - 1e | 7s | 150 |
| 80 | 3 - 0s | 4 - 1q | 3 - 11s | 2 - 1d | 7g | |
| 82 | 3 - 1s | 4 - 2g | 9 - 0t | 2 - 2i | 8e | |
| 84 | 3 - 2i | 4 - 4e | 4 - 2w | 2 - 3w | 8y | |
| 86 | 3 - 3r | 4 - 5u | 4 - 3t | 2 - 3s | 8o | |
| 88 | 3 - 4r | 4 - 6g | 4 - 4i | 2 - 4u | 8s | |
| 90 | 3 - 5 | 4 - 7f | 4 - 5o | 2 - 5q | 8g | |
| 92 | 3 - 6 | 4 - 9e | 4 - 6f | 2 - 5o | 9w | |
| 94 | 3 - 7 | 4 - 10y | 4 - 8w | 2 - 5y | 9y | |
| 96 | 3 - 4i | 4 - 11p | 4 - 9r | 2 - 7 | 9o | |
| 98 | 3 - 8i | 5 - 0f | 4 - 10i | 2 - 7p | 9s | |
| 100 | 3 - 9 | 5 - 2w | 4 - 11q | 2 - 8t | 9g | |
| 102 | 3 - 10 | 5 - 3f | 5 - 0f | 2 - 8q | 10w | |
| 104 | 3 - 11 | 5 - 4p | 5 - 2q | 2 - 9o | 10t | |
| 106 | 3 - 11s | 5 - 5f | 5 - 3r | 2 - 10r | 10o | |
| 108 | 4 - 0i | 5 - 7w | 5 - 4u | 2 - 10f | 10s | |
| 110 | 4 - 1i | 5 - 8t | 5 - 5o | 2 - 11i | 10g | |
| 112 | 4 - 2r | 5 - 9o | 5 - 6d | 3 - 0e | 11w | |
| 114 | 4 - 3 | 5 - 10d | 5 - 8 | 3 - 0d | 11t | |
| 116 | 4 - 4 | 6 - 0q | 5 - 9e | 3 - 1u | 11i | |
| 118 | 4 - 5 | 6 - 1t | 5 - 10y | 3 - 2w | 11s | |
| 120 | 4 - 5s | 6 - 2o | 5 - 11p | 3 - 2s | 11g | |
| 122 | 4 - 6i | 6 - 3d | 6 - 0d | 3 - 3t | 12w | |
| 124 | 4 - 7y | 6 - 5q | 6 - 2 | 3 - 4 | 12y | |
| 126 | 4 - 8r | 6 - 6r | 6 - 3e | 3 - 4q | 12o | |
| 128 | 4 - 9 | 6 - 7i | 6 - 4y | 3 - 5r | 12s | |
| 130 | 4 - 10 | 6 - 8s | 6 - 5o | 3 - 6 | 12g | |
| 132 | 4 - 10s | 6 - 10 | 6 - 6s | 3 - 6o | 13w | |
| 134 | 4 - 11i | 6 - 11r | 6 - 8 | 3 - 7r | 13t | |
| 136 | 5 - 0i | 7 - 0i | 6 - 9w | 3 - 7q | 13i | |
| 138 | 5 - 1r | 7 - 1s | 6 - 10y | 3 - 8o | 13s | |
| 140 | 5 - 2r | 7 - 3 | 6 - 11i | 3 - 9r | 13g | |
MSS SP-75 GR.WPHY 52 Miter Bend
ASTM A234 WPB Mitered Elbow
ANSI B16.49 Carbon Steel Mitered Pipe Bend
24 Inch, LTCS ASTM A420 WPL6 Mitered Bend
Black Coating ASTM A234 WPC Mitre Bend Pipe
BW Ends Alloy Steel ASTM A234 WP5 Miter 90 Degree Elbow
Butt Weld Ends ASTM A234 Gr WP9 Fabricated Bend
Sch 80 ASTM A234 Grade WP11 90 Degree Mitered Elbow
4 Inch A234 WP22 Mitered 90 Degree Elbow
Black Coated ASTM A403 WP304 90 Degree Miter Bend
Seamless Stanless Steel A403 WP304L Miter Cut Elbow
90 Deg ASTM A403 WP316L 90 Degree Mitre Bend
30 Deg A403 WP316 Mitered Pipe Elbows
36 Inch, 11.90 MM ASTM A860 WPHY 65 5 gore elbow
ANSI B16.9 3 gore elbow
ASME B16.9 7 gore elbow
AWWA C208 90 Degree Mitred Bend
90 Degree Mitered Elbow
ASTM A234 WPB Mitered Bend
A420 WPL6 Miter Cut Elbow
LTCS ASTM A420 WPL6 Mitered Pipe Elbows
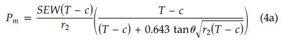
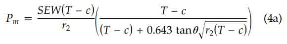
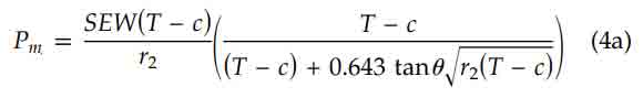
Input Required
Put the given value in equation (4a)

Where,
θ = (Bend Angle/Numbers of Miter or cut) / 2 = (90°/2) / 2= 22.5 °
Therefore,

Pm = 103.60 psi
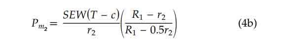
We can see Pm< Pdesign
So, increase the numbers of the miter to 3 and recalculate (only the value of θ (15 °) will be changed, rest will be the same.
Now,
Pm = 136.19 psi
Still,
Pm< Pdesign
Similarly, for 4 miters, (θ =11.25 °)
Pm = 159.93 psi
Still,
Pm< Pdesign
Similarly, for 5 miters, (θ =9 °)
Pm = 178.16 psi
Single Miter Bend

Multiple Miter Bend


Pipe Fittings Types
Pipe Fittings Material
Flanges Material
Other Products