What is Carbon Steel Cap?
The Carbon Steel Cap is a solid head cap which is installed on the male threads at the ends of a pipe. They help to block the flow inside a piping system. They have similar functions like that of a blind flange. The Carbon Steel Caps are made according to various standards. They help to make the connection leakage proof, and can effectively withstand high temperature and high pressure situations. They are primarily used in those parts of the pipeline that are not in use or if there is a requirement for maintenance or repair works inside the pipe. These caps are available in three types:
The Carbon Steel Caps are available in different dimensions and their sizes can be customized according to unique requirements. They are used in a wide range of applications in various industries like chemicals, paper, cement, shipbuilding, and many more. Different types of surface treatments can be applied on the Carbon Steel Cap to enhance its appearance and also corrosion resisting properties.
How do you set up an Carbon Steel Pipe Cap?
The Carbon Steel Pipe Caps are installed at the ends of the pipeline or on the open nozzle of a pipe vessel. They are installed on the male threads at the ends of a pipe, and help in blocking the pipe run. Their dimensions are customized according to the pipe’s diameter.
What is a High Carbon Steel End Cap used for?
When the carbon content in the alloy is more than 0.55%, it is known as High Carbon Steel. The High Carbon Steel End Cap comes with enhanced strength, and hence they can be used in more harsh environments, like high-temperature, high-pressure, or fluctuating services. The High Carbon Steel End Cap is very cost-effective due to the superior performance it offers. They are widely used in process piping due to its ability to withstand harsh situations.
Carbon Steel Cap manufacturer in India
Table of Content
| Dimensions | ASME B16.9, MSS-SP-43 |
| Sizes | 1/2″NB TO 36 “NB IN |
| Types Provided By Manufacturer | End Pipe, Pipe Cap, Dish Cap, Lateral Cap |
| Wall Thickness | Schedule S100, 5S, S10, S20, 20S, S60, STD, 40S, S40, S120, 10S, XS, 80S, S80, S140, S30, S160, XXS and etc. |
| Pressure | SCH5 to SCH160v |
| Value Added Services Provided By Manufacturer | Epoxy & FBE Coating, Hot Dipped Galvanizing, Sand Blasting, Threading, Electro Polish, Soldering |
Are you looking for Mild Steel End Caps dealers, stockholders, wholesalers, supplier, importer, stockists, distributor, exporters and Manufacturer in Mumbai.
| D(inch) | DN | OD | SCH5s | SCH10s | SCH10 | SCH20 | SCH30 | SCH40s | STD | SCH40 |
| 1/8" | 6 | 10.3 | - | 1.24 | 1.73 | 1.73 | 1.73 | |||
| 1/4" | 8 | 13.7 | - | 1.65 | - | - | - | 2.24 | 2.24 | 2.24 |
| 3/8" | 10 | 17.1 | - | 1.65 | - | - | - | 2.31 | 2.31 | 2.31 |
| 1/2" | 15 | 21.3 | 1.65 | 2.11 | - | - | - | 2.77 | 2.77 | 2.77 |
| 3/4" | 20 | 26.7 | 1.65 | 2.11 | - | - | - | 2.87 | 2.87 | 2.87 |
| 1" | 25 | 33.4 | 1.65 | 2.77 | - | - | - | 3.38 | 3.38 | 3.38 |
| 11/4" | 32 | 42.2 | 1.65 | 2.77 | - | - | - | 3.56 | 3.56 | 3.56 |
| 11/2" | 40 | 48.3 | 1.65 | 2.77 | - | - | - | 3.68 | 3.68 | 3.68 |
| 2" | 50 | 60.3 | 1.65 | 2.77 | - | - | - | 3.91 | 3.91 | 3.91 |
| 21/2" | 65 | 73.0 | 2.11 | 3.05 | - | - | - | 5.16 | 5.16 | 5.16 |
| 3" | 80 | 88.9 | 2.11 | 3.05 | - | - | - | 5.49 | 5.49 | 5.49 |
| 31/2" | 90 | 101.6 | 2.11 | 3.05 | - | - | - | 5.74 | 5.74 | 5.74 |
| 4" | 100 | 114.3 | 2.11 | 3.05 | - | - | - | 6.02 | 6.02 | 6.02 |
| 5" | 125 | 141.3 | 2.77 | 3.40 | - | - | - | 6.55 | 6.55 | 6.55 |
| 6" | 150 | 168.3 | 2.77 | 3.40 | - | - | - | 7.11 | 7.11 | 7.11 |
| 8" | 200 | 219.1 | 2.77 | 3.76 | - | 6.35 | 7.04 | 8.18 | 8.18 | 8.18 |
| 10" | 250 | 273.1 | 3.40 | 4.19 | - | 6.35 | 7.80 | 9.27 | 9.27 | 9.27 |
| 12" | 300 | 323.9 | 3.96 | 4.57 | - | 6.35 | 8.83 | 9.53 | 9.53 | 10.31 |
| 14" | 350 | 355.6 | 3.96 | 4.78 | 6.35 | 7.92 | 9.53 | - | 9.53 | 11.13 |
| 16" | 400 | 406.4 | 4.19 | 4.78 | 6.35 | 7.92 | 9.53 | - | 9.53 | 12.70 |
| 18" | 450 | 457.2 | 4.19 | 4.78 | 6.35 | 7.92 | 11.13 | - | 9.53 | 14.27 |
| 20" | 500 | 508.0 | 4.78 | 5.54 | 6.35 | 9.53 | 12.70 | - | 9.53 | 15.09 |
| 22" | 550 | 558.8 | 4.78 | 5.54 | 6.35 | 9.53 | 12.70 | - | 9.53 | |
| 24" | 600 | 609.6 | 5.54 | 6.35 | 6.35 | 9.53 | 14.27 | - | 9.53 | 17.48 |
| 26" | 650 | 660.4 | - | - | 7.92 | 12.70 | - | - | 9.53 | - |
| 28" | 700 | 711.2 | - | - | 7.92 | 12.70 | 15.88 | - | 9.53 | - |
| 30" | 750 | 762.0 | 6.35 | 7.92 | 7.92 | 12.70 | 15.88 | - | 9.53 | - |
| 32" | 800 | 812.8 | - | - | 7.92 | 12.70 | 15.88 | - | 9.53 | 17.48 |
| 34" | 850 | 863.6 | - | - | 7.92 | 12.70 | 15.88 | - | 9.53 | 17.48 |
| 36" | 900 | 914.4 | - | - | 7.92 | 12.70 | 15.88 | - | 9.53 | 19.05 |
| 38" | 950 | 965.2 | - | - | - | - | - | - | 9.53 | - |
| 40" | 1000 | 1016.0 | - | - | - | - | - | - | 9.53 | - |
| 42" | 1050 | 1066.8 | - | - | - | - | - | - | 9.53 | - |
| 44" | 1100 | 1117.6 | - | - | - | - | - | - | 9.53 | - |
| 46" | 1150 | 1168.4 | - | - | - | - | - | - | 9.53 | - |
| 48" | 1200 | 1219.2 | - | - | - | - | - | - | 9.53 | - |

| NPS | Length H |
O.D. D |
Length H(1) |
| 1/2 | 25 | 21.3 | 25 |
| 3/4 | 25 | 26.7 | 25 |
| 1 | 38 | 33.4 | 38 |
| 1.1/4 | 38 | 42.2 | 38 |
| 1.1/2 | 38 | 48.3 | 38 |
| 2 | 38 | 60.3 | 44 |
| 2.1/2 | 38 | 73 | 51 |
| 3 | 51 | 88.9 | 64 |
| 3.1/2 | 64 | 101.6 | 76 |
| 4 | 64 | 114.3 | 76 |
| 5 | 76 | 141.3 | 89 |
| 6 | 89 | 168.3 | 102 |
| 8 | 102 | 219.1 | 127 |
| 10 | 127 | 273 | 152 |
| 12 | 152 | 323.8 | 178 |
| 14 | 165 | 355.6 | 191 |
| 16 | 178 | 406.4 | 203 |
| 18 | 203 | 457 | 229 |
| 20 | 229 | 508 | 254 |
| 22 | 254 | 559 | 254 |
| 24 | 267 | 610 | 305 |
| 26 | 267 | 660 | - |
| 28 | 267 | 711 | - |
| 30 | 267 | 762 | - |
| 32 | 267 | 813 | - |
| 34 | 237 | 864 | - |
| 36 | 267 | 914 | - |
| 38 | 305 | 965 | - |
| 40 | 305 | 1016 | - |
| 42 | 305 | 1067 | - |
| 44 | 343 | 1118 | - |
| 46 | 343 | 1168 | - |
| 48 | 343 | 1219 | - |
| Out diameter | High size | Wall thickness accord to 'E' | ||
| DN | NPS | E | E1 | E |
| 15 | 1/2 | 25 | 25 | 3.73 |
| 20 | 3/4 | 25 | 25 | 3.91 |
| 25 | 1 | 38 | 38 | 4.55 |
| 32 | 11/4 | 38 | 38 | 4.85 |
| 40 | 11/2 | 38 | 38 | 5.08 |
| 50 | 2 | 38 | 44 | 5.54 |
| 65 | 21/2 | 38 | 51 | 7.01 |
| 80 | 3 | 51 | 64 | 7.62 |
| 90 | 31/2 | 64 | 76 | 8.08 |
| 100 | 4 | 64 | 76 | 8.56 |
| 125 | 5 | 76 | 89 | 9.53 |
| 150 | 6 | 89 | 102 | 10.97 |
| 200 | 8 | 102 | 127 | 12.7 |
| 250 | 10 | 127 | 152 | 12.7 |
| 300 | 12 | 152 | 178 | 12.7 |
| 350 | 14 | 165 | 191 | 12.7 |
| 400 | 16 | 178 | 203 | 12.7 |
| 450 | 18 | 203 | 229 | 12.7 |
| 500 | 20 | 229 | 254 | 12.7 |
| 550 | 22 | 254 | 254 | 12.7 |
| 600 | 24 | 267 | 305 | 12.7 |
| 650 | 26 | 267 | ||
| 700 | 28 | 267 | ||
| 750 | 30 | 267 | ||
| 800 | 32 | 267 | ||
| 850 | 34 | 267 | ||
| 900 | 36 | 267 | ||
| 950 | 38 | 305 | ||
| 1000 | 40 | 305 | ||
| 1050 | 42 | 305 | ||
| 1100 | 44 | 343 | ||
| 1150 | 46 | 343 | ||
| 1200 | 48 | 343 | ||
| Carbon Steel Cap Price Per Piece in India | Mild Steel End Caps Price in INR | A420 WPL6 Butt Weld Pipe Cap Price in UAE Dirham | ASTM A234 WPB Weld On Pipe Caps Price in USD |
| DN 100, END CAP, SCH 40/STD, SA234 GR.WPB Per Kg | 151 | UAE Dirham 7.50 | $2.04 |
| DN 50, END CAP, SCH XS/80, SA234 GR.WPB Per Kg | 400 | UAE Dirham 19.87 | $5.41 |
| CAP BW A420-WPL6 STD3 Per Kg | 668 | UAE Dirham 33.19 | $9.04 |
| CAP BW B16.9 A420-WPL6 S80 0.75 Per Kg | 567 | UAE Dirham 28.18 | $7.67 |
Check our price with other Carbon Steel Cap manufacturer in India Before Purchasing. This is an approximate Price of A420 WPL6 Butt Weld Pipe Cap in India. Feel free to contact us latest Stocklist of MS Buttweld Caps in Mumbai.
| OD | ND | INCH | SCH20 | SCH40 | SCH80 | STD | XS |
| Weight | Weight | Weight | Weight | Weight | |||
| 88.9 | 80 | 3 | 0.66 | 0.92 | 0.66 | 0.92 | |
| 114.3 | 100 | 4 | 1.17 | 1.67 | 1.17 | 1.67 | |
| 141.3 | 125 | 5 | 1.91 | 2.78 | 1.91 | 2.78 | |
| 168.3 | 150 | 6 | 2.9 | 4.47 | 2.9 | 4.47 | |
| 219.1 | 200 | 8 | 4.09 | 5.19 | 8.05 | 5.19 | 8.05 |
| 273 | 250 | 10 | 6.36 | 9.15 | 12.5 | 9.15 | 12.5 |
| 323.8 | 300 | 12 | 9.08 | 14.4 | 26.8 | 13.2 | 17.3 |
| 355.6 | 350 | 14 | 13.2 | 18.8 | 34.5 | 15.9 | 20.4 |
| 406.4 | 400 | 16 | 16.8 | 26.7 | 47.7 | 20.4 | 26.3 |
| 457.2 | 450 | 18 | 24.8 | 41.8 | 67.7 | 25.9 | 33.6 |
| 508 | 500 | 20 | 32.2 | 54.9 | 91.3 | 32.2 | 42.7 |
| 558.8 | 550 | 22 | 37.7 | 49.9 | |||
| 609.6 | 600 | 24 | 46.3 | 93.1 | 155 | 46.3 | 59.5 |
| WDR | |||||
| 3 | 4 | 5 | |||
| DN | d1 | s | s | s | h |
| 15 | 21.3 | 2 | 3.2 | 4 | 25 |
| 20 | 26.9 | 2.3 | 3.2 | 4 | 25 |
| 25 | 33.7 | 2.6 | 3.2 | 4 | 38 |
| 32 | 42.4 | 2.6 | 3.6 | 4 | 38 |
| 40 | 48.3 | 2.6 | 4 | 5 | 38 |
| 50 | 60.3 | 2.9 | 4.5 | 5.6 | 38 |
| 65 | 76.1 | 2.9 | 5 | 7.1 | 38 |
| 80 | 88.9 | 3.2 | 5.6 | 8 | 51 |
| 100 | 114.3 | 3.6 | 6.3 | 8.8 | 64 |
| 125 | 139.7 | 4 | 6.3 | 10 | 76 |
| 150 | 168.3 | 4.5 | 7.1 | 11 | 89 |
| 200 | 219.1 | 6.3 | 8 | 12.5 | 102 |
| 250 | 273 | 6.3 | 8.8 | 14.2 | 127 |
| 300 | 323.9 | 7.1 | 10 | 16 | 152 |

| dimensions d1 x s | height L | weight / kg |
| 21,3 x 2,0 | 9,0 | 0,01 |
| 26,9 x 2,0 | 9,0 | 0,01 |
| 33,7 x 2,0 | 13,0 | 0,02 |
| 42,4 x 2,0 | 13,0 | 0,04 |
| 48,3 x 2,0 | 13,5 | 0,05 |
| 60,3 x 2,0 | 18,5 | 0,07 |
| 76,1 x 2,0 | 20,5 | 0,10 |
| 88,9 x 2,0 | 25,0 | 0,15 |
| 114,3 x 2,0 | 28,0 | 0,26 |
| 114,3 x 3,0 | 29,0 | 0,39 |
| 139,7 x 3,0 | 38,5 | 0,60 |
| 168,3 x 3,0 | 47,5 | 0,90 |
| 219,1 x 3,0 | 63,5 | 1,32 |
| 273,0 x 3,0 | 93,0 | 1,95 |
| 323,9 x 3,0 | 102,0 | 2,70 |
| 355,6 x 3,0 | 109,0 | 3,80 |
| 406,4 x 3,0 | 123,0 | 5,00 |
| 457,2 x 3,0 | 123,0 | 6,10 |
| 508,0 x 3,0 | 133,0 | 7,60 |
Carbon Steel End Cap
ASTM A860 High Yield Welded Pipe End Caps
24 Inch Steel Pipe Cap
ASTM A234 WPC Steel Pipe Caps Welded
ASTM A234 WPA Seamless Pipe End Cap
Mild Steel Weld On End Caps
WPHY 42 End Cap Fittings
WPHY 65 Buttweld End Cap Fitting
ASTM A234 WPC Weld Caps
DIN 2617 Pipe Cap
Mild Steel End Caps
Schedule 40 Carbon Steel Weld On Cap
ASTM A234 WPA Weld On Pipe Caps
ASTM A234 WPB Weldable Pipe Caps
ASTM A420 WPL6 Domed Weld On Pipe Caps
WPHY 70 Pipe Cap Fittings
WPHY 42 Butt Weld Cap
Carbon Steel Cap
Carbon Steel Galvanized Pipe Cap
4 Inch Weld On Pipe Cap
WPHY 70 Weld On Pipe End Caps
Galvanized endcaps
ASTM A234 WPB Large Dia Pipe Cap
ASTM A860 High Yield Butt Weld End Cap
WPHY 52 Pipe End Caps
Carbon Steel Buttweld Caps
Carbon Steel Buttweld End Caps
DIN 28011 End Cap
WPHY 52 Custom Shape Pipe Cap
Galvanized Butt Weld Pipe Cap
WPHY 65 Mild Steel Domed End Caps
ASTM A420 WPL6 Round Pipe Cap
Carbon Steel Pipe Cap
Deep drawing is the process of shaping sheet metal stock, known as blanks, into geometrical or irregular shapes that are deeper than half their diameters. Deep drawing entails wrapping a metal blank around a plug and then inserting it into a moulding cutter known as a die.
A drawing press can be used to shape sheet metal into various shapes, and the finished shape is determined by the ultimate position in which the blanks are forced down. Deep drawing metal must be flexible as well as resistant to stress and tension damage.

| Nominal Pipe Size | 1/2 to 2.1/2 | 3 to 3.1/2 | 4 | 5 to 8 |
| Outside Diameter at Bevel ( D) |
+ 1.6 - 0.8 |
1.6 | 1.6 | + 2.4 - 1.6 |
| Inside Diameter at End | 0.8 | 1.6 | 1.6 | 1.6 |
| Overall Length ( H) | 3 | 3 | 3 | 6 |
| Nominal Pipe Size | 10 to 18 | 20 to 24 | 26 to 30 | 32 to 48 |
| Outside Diameter at Bevel ( D) |
+ 4 - 3.2 |
+ 6.4 - 4.8 |
+ 6.4 - 4.8 |
+ 6.4 - 4.8 |
| Inside Diameter at End | 3.2 | 4.8 | + 6.4 - 4.8 |
+ 6.4 - 4.8 |
| Overall Length ( H) | 6 | 6 | 10 | 10 |
| Wall Thickness ( t) | Not less than 87.5% of Nominal Wall Thickness | |||
Pipe Cap is directly welded to die at the end of the pipeline; at the end of the pipeline can also welding flange, then with a blind flange to death, can open the blind flange, pipeline check inside when necessary. The traditional cap holder is created with a thick wall, forging, and spinning a large diameter.
4 inch schedule 40 carbon steel weld on cap Price: $16.75
| Schedule | 40 |
| Product Type | Weld on Caps |
| Size | 4" |
| Material | Carbon Steel |
| Outside Diameter | 4.5 |
| Inside Diameter | 4.026 |
| Wall Thickness | 0.237 |
| Approx Weight | 2.8 LBS |
24 inch carbon steel weld on cap Price: $557.48
| Schedule | Standard |
| Product Type | Weld on Caps |
| Size | 24" |
| Material | Carbon Steel |
| Schedule | 20 |
| Length E | 10.5 inch |
| Wall Thickness | 0.375 inch |
| Approx Weight | 101 LBS |

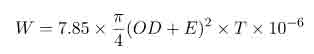
The weight of an ASME B16.9 Butt Weld Cap is computed using the following formula:

Where:
Marking
These Pipe End Cap are wrapped in various packaging materials such as:
| ASME: | ANSI B16.9, ANSI B16.28, MSS-SP-43 |
| DIN: | DIN2605, DIN2616, DIN2615, DIN2617, DIN28011 |
| EN: | EN10253-1, EN10253-2 |
| HS Code | 7307 |
Pipe Fittings Types
Pipe Fittings Material
Flanges Material
Other Products